Bolsa
O que é Curtose e como é interpretada?

Índice
A curtose é uma estatística que determina o grau de concentração dos valores de uma variável em torno do centro da distribuição de frequências.
Ou seja, a curtose indica o quão próximos os dados coletados de uma variável estão do seu valor médio.
Fórmula da curtose
A fórmula da curtose é a seguinte, dependendo do caso:
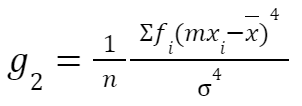
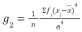
Para dados não agrupados:

Para dados agrupados em tabelas de frequências:

Para dados agrupados em intervalos:

Onde:

Tipos de curtose
Dependendo do grau de concentração, podemos dizer que existem 3 tipos de curtose:
- Leptocúrtica: os valores se concentram muito em torno da sua média.
- Mesocúrtica: os valores se concentram regularmente em torno da sua média. Ou seja, nosso conjunto de dados se assemelha a uma distribuição normal.
- Platicúrtica: os valores se concentram pouco em torno da sua média.

Algumas variáveis podem ter um maior grau de concentração (menor dispersão) em relação à média, enquanto outras têm um menor grau de concentração (maior dispersão). Consequentemente, a curtose reflete o grau de nitidez (maior concentração) ou flacidez (menor concentração) de uma distribuição.
Excesso de curtose
É comum encontrarmos a curtose expressa como excesso de curtose. Trata-se de comparar neste caso a variável com a distribuição normal. Dado que a distribuição normal tem curtose 3, para obter o excesso, só precisaríamos subtrair 3 do nosso resultado.
Excesso de curtose = g2 – 3
A interpretação do resultado, neste caso, seria a seguinte:
- g2-3 > 0 → distribuição leptocúrtica.
- g2-3 = 0 → distribuição mesocúrtica (ou normal).
- g2-3 < 0 → distribuição platicúrtica.
Exemplo de curtose
Vamos ver um exemplo simples de curtose. Suponhamos que temos o seguinte grupo de valores
10,14,15,16,17,7,8,11,12,13

Então, 1,8951-3=-1,1049
Portanto, a distribuição é platicúrtica, o que significa que os valores não estão muito concentrados em torno da média.