Biografias
Biografia de Irving Fisher

Índice
Irving Fisher (1867-1947) foi um economista americano e professor da Universidade de Yale. Ele é conhecido por seu trabalho pioneiro em econometria e por ser um dos fundadores da macroeconomia moderna
Fisher popularizou a hipótese de que as ações têm uma base racional por trás de suas flutuações de preços. Ele é valorizado, acima de tudo, por seu trabalho sobre a teoria quantitativa do dinheiro, que relaciona os níveis de preços e a oferta monetária.
Além disso, ele foi o autor da famosa equação de Fisher que explicaremos mais adiante.

Biografia de Irving Fisher
Irving Fisher nasceu em 27 de fevereiro de 1867 em Saugerties (Nova York). Ele se formou em matemática na Universidade de Yale em 1888. Em sua vida profissional, dedicou-se principalmente à economia, pertencendo à corrente da escola neoclássica.
Fisher também foi inventor e empresário e se envolveu com questões sociais. Ele se posicionou contra o álcool e o tabaco, e contra a guerra. Assim, fez campanha para que seu país aderisse à Sociedade das Nações (SDN). Este foi um órgão internacional fundado após o Tratado de Versalhes (1919) e pretendia estabelecer bases para a paz após o fim da Primeira Guerra Mundial. Assim, a SDN foi o precursor da Organização das Nações Unidas (ONU).
Fisher perdeu popularidade quando em 1929 afirmou que o mercado de ações havia atingido seu nível máximo de estabilidade, logo antes da famosa queda de Wall Street que gerou a Grande Depressão. Fisher perdeu não apenas reconhecimento, mas também grande parte de sua fortuna. Com o tempo, sua figura foi reivindicada nos campos da macroeconomia, onde suas teorias mantiveram sua relevância.
Fisher faleceu em 29 de abril de 1947 em Nova York, aos oitenta anos.
Irving Fisher é um dos grandes nomes das finanças que destacamos na nossa lista especial de investidores e economistas influentes.
Teoria quantitativa do dinheiro
A teoria quantitativa do dinheiro de Fisher é resumida na seguinte fórmula:

Onde M é a massa monetária ou estoque de dinheiro, V é a velocidade de circulação do dinheiro, P é o nível geral de preços e T são as transações realizadas no período analisado. Esta variável pode ser substituída pelo nível de produção ou PIB (Y).
Portanto, se assumirmos que no curto prazo V e T são constantes (neste último caso porque estamos diante de um nível de produção com pleno emprego), variações em M apenas geram mudanças em P. Ou seja, um aumento na massa monetária só causa aumento de preços no curto prazo.
A sua equação
A equação de Fisher explica a relação entre a taxa ou tipo de juros nominal, a inflação esperada e a taxa de juros real.
A taxa nominal é aquela que reflete o juros gerado, sem considerar custos adicionais. Por outro lado, a taxa real incorpora a variação que pode ocorrer na capacidade de compra. Por isso, incluímos a variável da inflação.
Na equação, a taxa nominal é a variável dependente e a taxa real e a inflação são variáveis independentes ou explicativas, e são determinadas de forma exógena. Por exemplo, a inflação esperada pode ser obtida a partir de pesquisas sobre expectativas de inflação realizadas por órgãos oficiais (como o Banco Central Europeu).
A fórmula é a seguinte:
i = r + π
Onde
i=taxa de juros nominal
r=taxa de juros real
π =inflação esperada
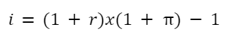
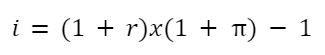
A equação de Fisher também pode ser expressa da seguinte forma
