Trading de opções
Prêmio de uma opção: como é determinado?

As letras gregas medem a variação do prêmio diante de mudanças na volatilidade, no tempo, no preço do ativo subjacente, entre outros fatores. Essas mesmas variáveis (volatilidade, tempo e preço do subjacente), juntamente com outras que explicaremos a seguir, são determinantes para o prêmio de uma opção.
Quais variáveis determinam o prêmio de uma opção?
O prêmio de uma opção é definido pelo valor de seis variáveis: o preço atual do subjacente (S), que é o preço do ativo do qual a opção depende; o preço de exercício (E); a volatilidade do subjacente (σ); o tempo até o vencimento (T-t); a taxa de juros livre de risco (r); e os dividendos pagos pelo subjacente (q). Estas variáveis são essenciais ao considerar se vale mais a pena investir em opções ou explorar outros instrumentos como opções ou futuros. Além disso, é importante conhecer as diferenças entre opções e futuros, já que cada um desses instrumentos possui características e riscos distintos.
Na imagem acima, a taxa de juros livre de risco não aparece, pois é definida pelo mercado. Geralmente, essa taxa é a CDI. Já a volatilidade que pode ser vista nas corretoras é a volatilidade implícita, ao invés da volatilidade do subjacente, que é um fator crítico para estratégias como o Iron Condor em opções, onde se busca lucrar em ambientes de baixa volatilidade do subjacente.
A seguir, vamos explicar como cada uma dessas seis variáveis afeta o prêmio, mantendo constante o valor das demais, tanto para opções de compra (call) quanto para opções de venda (put). Entretanto, essas variáveis são fundamentais na precificação de uma opção (ou seja, para determinar seu prêmio ou valor). Para entender como uma variação nelas afeta o prêmio, devemos analisar as gregas.
Preço atual do subjacente
Nas opções de compra (call), se essas forem exercidas, o pagamento será S-E (Preço atual do subjacente - Preço de Exercício). Portanto, à medida que o preço atual do subjacente aumenta, o prêmio da call também sobe, já que o pagamento será maior. Inversamente, se o preço atual do subjacente cair, o prêmio da call também diminui.
Nas opções de venda (put), se essas forem exercidas, o pagamento será E-S (Preço de Exercício - Preço atual do subjacente). Por isso, à medida que o preço atual do subjacente aumenta, o prêmio da put cai, já que o pagamento será menor. Inversamente, se o preço atual do subjacente cair, o prêmio da put sobe. Em resumo, quanto maior for o preço atual do subjacente, maior será o prêmio de uma call e menor o de uma put.
Preço de Exercício
Nas opções de compra (call), se essas forem exercidas, o pagamento será S-E (Preço atual do subjacente - Preço de Exercício). Portanto, à medida que o preço de exercício aumenta, o prêmio da call diminui, já que o pagamento será menor. Inversamente, se o preço de exercício cair, o prêmio da call aumenta.
Nas opções de venda (put), se essas forem exercidas, o pagamento será E-S (Preço de Exercício - Preço atual do subjacente). Por isso, à medida que o preço de exercício aumenta, o prêmio da put aumenta, já que o pagamento será maior. Inversamente, se o preço de exercício cair, o prêmio da put também diminui. Em resumo, quanto maior for o preço de exercício, maior será o prêmio de uma put e menor o de uma call.
Volatilidade do subjacente
A volatilidade do subjacente se refere à variação dos retornos do mesmo, ou seja, à variabilidade do preço do subjacente. Dito isso, se a volatilidade do subjacente aumentar, aumenta a probabilidade de grandes mudanças no preço do subjacente e, portanto, que as opções possam ser exercidas. Entender a volatilidade é fundamental para avaliar os benefícios das opções financeiras, incluindo as opções binárias.
Por isso, se a volatilidade aumenta, o prêmio das opções de compra (call) e de venda (put) também sobe, já que ambas ficam protegidas contra quedas e subidas do subjacente, respectivamente.
Taxa de juros livre de risco
O detentor de uma opção de compra (call), na data de vencimento, pagará o preço de exercício e receberá o preço do subjacente. O valor presente da quantia que representa o preço de exercício diminui se as taxas de juros forem maiores. Portanto, à medida que as taxas de juros sobem, o prêmio de uma opção call aumenta.
O detentor de uma opção de venda (put), na data de vencimento, pagará o preço do subjacente e receberá o preço de exercício. O valor presente da quantia que representa o preço de exercício aumenta se as taxas de juros forem menores. Portanto, à medida que as taxas de juros caem, o prêmio de uma opção put aumenta. Em resumo, quanto mais subir a taxa de juros livre de risco, maior será o prêmio da call e menor o da put.
Tempo até o vencimento
Nas opções americanas, se o tempo até o vencimento aumentar, o prêmio também sobe. Supondo duas opções idênticas que se diferenciam apenas na data de vencimento, aquela com vencimento mais longo tem maior probabilidade de ser exercida do que a de vencimento mais curto. Isso porque tem as mesmas oportunidades de exercício até o vencimento curto e, além disso, incorpora a chance de ser exercida até o vencimento mais longo.
Nas opções europeias, se o tempo até o vencimento aumentar, o prêmio pode subir ou não. No caso das opções de compra (call), isso depende se o subjacente paga dividendos e da quantia do mesmo. No caso das opções de venda (put), depende das taxas de juros (conforme mencionado no tópico anterior).
Pagamento de Dividendos
Quando uma ação paga dividendos, o preço da mesma se reduz em uma quantia semelhante no dia em que são pagos, ou seja, o preço do subjacente cai. Por isso, os dividendos fazem o preço de uma opção de compra (call) cair e o de uma opção de venda (put) subir.

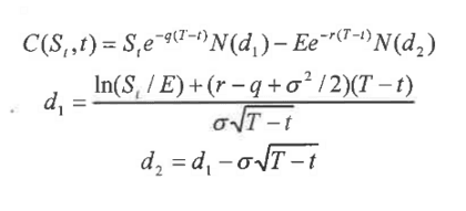
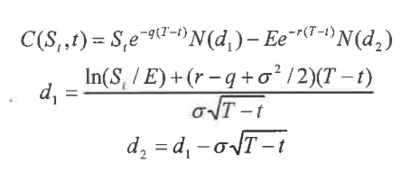
Fórmula de Black-Scholes-Merton
A fórmula de Black-Scholes-Merton é usada para precificar opções. Como pode ser observado, ela considera as seis variáveis que mencionamos:
