Bolsa
O que é um título sem cupom? Conceito e cálculo

Índice
Os títulos de renda fixa são investimentos bastante populares entre brasileiros que buscam previsibilidade e segurança nos rendimentos. Dentro dessa categoria, os chamados títulos sem cupom se destacam como uma estratégia interessante para quem deseja planejar objetivos de longo prazo, como aposentadoria, compra de imóvel ou formação de patrimônio, com maior previsibilidade sobre o retorno.
Neste artigo, você vai entender o que são os títulos sem cupom, como eles funcionam, como calcular seu preço e rendimento e quais são as principais vantagens e riscos envolvidos nesse tipo de aplicação.
O que é um título sem cupom?
De forma geral, os títulos de renda fixa tradicionais pagam juros periódicos, conhecidos como cupons, ao longo do tempo. Já os títulos sem cupom funcionam de maneira diferente: não realizam pagamentos intermediários. Em vez disso, eles são adquiridos com deságio (ou seja, por um valor menor que o de face) e o investidor recebe o valor nominal integral somente no vencimento.
Na prática, o lucro do investidor não vem de rendimentos mensais ou semestrais, mas sim da diferença entre o valor pago na compra e o valor recebido no vencimento.
Exemplo prático com Tesouro Direto
Imagine que você adquire um Tesouro Prefixado 2030 (sem pagamento de juros) com valor de face de R$ 1.000, mas paga R$ 700 por ele hoje. No vencimento, você receberá os R$ 1.000 — ou seja, seu rendimento será de R$ 300 ao longo do período.
Esse modelo é ideal para quem busca um fluxo único e garantido no futuro, seja para financiar os estudos de um filho, planejar a aposentadoria ou acumular recursos para uma grande meta de médio ou longo prazo.
Como funcionam os títulos sem cupom?
No Brasil, os títulos sem cupom são geralmente emitidos pelo Tesouro Nacional, por meio do programa Tesouro Direto, mas também podem ser oferecidos por instituições financeiras privadas e empresas por meio de debêntures.
Um dos exemplos mais comuns é o Tesouro Prefixado com vencimento único, que pode ter prazos variados — como 2, 5 ou até 10 anos — e é negociado em reais, com retorno definido no momento da compra. Como não há pagamentos de juros ao longo do tempo, todo o rendimento é recebido de uma só vez no vencimento.
É importante lembrar que, embora a rentabilidade acordada seja garantida se o título for mantido até o vencimento, o seu preço pode variar no mercado secundário. Isso ocorre porque os títulos prefixados são sensíveis às mudanças nas taxas de juros da economia: se os juros sobem, o preço do título tende a cair, e vice-versa.
Por isso, esse tipo de investimento é mais indicado para quem tem objetivos de longo prazo e pretende manter o papel até o vencimento, evitando oscilações de curto prazo.
Como os títulos sem cupom são emitidos?
A forma como um título sem cupom é emitido está diretamente ligada à relação entre seu preço de emissão e o valor nominal (ou valor de face) que será pago no vencimento. De acordo com essa relação, os títulos podem ser classificados em três tipos:
| Tipo de emissão | Descrição | ||
|---|---|---|---|
| Emitido com deságio (abaixo do par) | É o mais comum. O título é vendido por um preço inferior ao valor nominal, garantindo ao investidor um ganho na diferença entre o que pagou e o que receberá no vencimento. | ||
| Emitido a par | O título é vendido exatamente pelo valor que será pago no vencimento. Essa modalidade é menos comum em títulos sem cupom. | ||
| Emitido com ágio (acima do par) | O título é vendido por um valor superior ao nominal, geralmente com a expectativa de valorização no mercado secundário antes do vencimento. |
| Tipo de emissão | Descrição |
| Emitido com deságio (abaixo do par) | É o mais comum. O título é vendido por um preço inferior ao valor nominal, garantindo ao investidor um ganho na diferença entre o que pagou e o que receberá no vencimento. |
| Emitido a par | O título é vendido exatamente pelo valor que será pago no vencimento. Essa modalidade é menos comum em títulos sem cupom. |
| Emitido com ágio (acima do par) | O título é vendido por um valor superior ao nominal, geralmente com a expectativa de valorização no mercado secundário antes do vencimento. |
Na maior parte dos casos, os títulos sem cupom — como o Tesouro Prefixado com vencimento único — são emitidos com deságio, o que torna mais simples para o investidor visualizar o rendimento bruto que terá ao final do prazo.
Como calcular o preço de um título sem cupom?
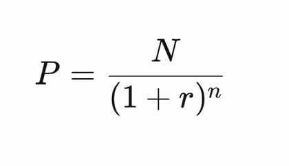
O preço de um título sem cupom é determinado com base no seu valor nominal, no prazo até o vencimento e na taxa de retorno esperada pelo investidor. A fórmula usada para esse cálculo é:

Onde:
- P = Preço atual do título
- N = Valor nominal (valor a ser recebido no vencimento)
- r = Taxa de retorno (ao ano)
- n = Prazo até o vencimento (em anos)
Exemplo prático com Tesouro Prefixado
Suponha que o Tesouro Nacional emita um Tesouro Prefixado 2029 sem juros semestrais, com as seguintes características:
- Valor nominal no vencimento: R$ 3.000
- Taxa de retorno esperada: 3% ao ano
- Prazo até o vencimento: 5 anos
Aplicando a fórmula:

Isso significa que o investidor paga hoje R$ 2.587,83 e, ao final do prazo, receberá R$ 3.000, o que representa uma rentabilidade equivalente a 3% ao ano.
Esse modelo de cálculo é fundamental para avaliar se o preço do título no mercado está atrativo frente às expectativas de juros e ao seu horizonte de investimento.
Vantagens e desvantagens dos títulos sem cupom
Destacamos as principais vantagens e desvantagens desses bônus a seguir:
Vantagens títulos sem cupom
- Certeza no rendimento: desde o momento da compra, o investidor sabe exatamente quanto receberá no vencimento.
- Maior rentabilidade em certos cenários: ao serem vendidos com desconto, podem oferecer melhores taxas efetivas que outros bônus tradicionais.
- Planejamento financeiro: são ideais para objetivos de investimento de longo prazo, como estudos ou aposentadoria.
- Menor preço inicial: costumam ser mais acessíveis que outros ativos de renda fixa com pagamentos de juros periódicos.
Desvantagens títulos sem cupom
- Baixa liquidez: não são tão fáceis de vender no mercado secundário.
- Risco de taxa de juros: se as taxas de juros aumentarem, o preço do título pode cair no mercado secundário.
- Risco de inadimplência: se o emissor não cumprir com o pagamento, o investidor pode perder seu dinheiro.
- Carga fiscal: em muitos países, o ganho obtido é considerado uma renda sujeita a impostos.
Para quem os títulos sem cupom são recomendados?
Esse tipo de título é especialmente indicado para:
- Investidores de longo prazo que buscam previsibilidade e já têm uma data definida para resgatar o valor;
- Pessoas com metas específicas, como a compra de um imóvel, pagamento de faculdade dos filhos ou formação de reserva para aposentadoria;
- Investidores que não dependem de renda periódica e preferem receber tudo de uma só vez no vencimento.
Por outro lado, não são ideais para quem precisa de liquidez no curto prazo ou deseja gerar uma renda passiva constante, como ocorre com os títulos que pagam cupons semestrais (Tesouro IPCA+ com juros, por exemplo).
Vale a pena investir em títulos sem cupom?
Os títulos sem cupom podem ser uma excelente ferramenta de investimento, desde que estejam alinhados com seu horizonte de tempo e objetivos financeiros. Seu principal atrativo é a certeza sobre o valor que será resgatado no vencimento, o que permite um planejamento mais preciso.
Porém, é essencial considerar fatores como liquidez, volatilidade do mercado secundário e o cenário de taxas de juros. Além disso, no caso de títulos privados, é fundamental avaliar a qualidade de crédito do emissor.
Se você pode manter o título até o vencimento e busca um retorno previsível para o futuro, esse tipo de aplicação pode sim ser uma ótima escolha. Mas como em qualquer investimento, o ideal é compará-lo com outras alternativas e entender bem o seu perfil de risco.